▶ DailyTube
Home 🎲 Random Trending Music Gaming

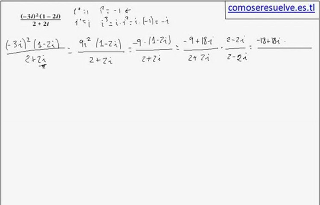
Operaciones de números complejos en forma binómica ejemplo 3

1 views · 13y ago 🎲 Random
Institweet
Institweet View Channel →

numeros complejos en forma binómica Si quieres que continue haciendo videos dale a Me Gusta! y visita mi blog www.comoseresuelvelafisica.com

Related Videos

Operaciones de números complejos en forma binómica ejemplo 1 2:20

Operaciones de números complejos en forma binómica ejem...

Institweet 245 views

Operaciones de números complejos en forma binómica ejemplo 4 4:57

Operaciones de números complejos en forma binómica ejem...

Institweet 245 views

Operaciones de números complejos en forma binómica ejemplo 2 5:21

Operaciones de números complejos en forma binómica ejem...

Institweet 4 views

operaciones con numeros complejos en forma binómica 7:46

operaciones con numeros complejos en forma binómica

Institweet 8 views

Cociente de número complejos y operaciones en forma binómica 3:55

Cociente de número complejos y operaciones en forma bin...

Institweet 94 views

Suma de números complejos Ejemplo 1 1:04

Suma de números complejos Ejemplo 1

walterortegaprofe 1 views

Formas de representar los números complejos 6:56

Formas de representar los números complejos

Aula4ALL 1 views

Multiplicación de Complejos Ejemplo 2 2:20

Multiplicación de Complejos Ejemplo 2

walterortegaprofe 5 views

Los Numeros Complejos. 2:16

Los Numeros Complejos.

Edgar José Salazar Palma 2 views

2 Adición de números complejos 2:39

2 Adición de números complejos

Edgar José Salazar Palma 1 views

06 Curso WolframAlpha Números complejos 6:53

06 Curso WolframAlpha Números complejos

Jose Luis Tabara Carbajo 13 views

13 Geogebra y Matemáticas. Números complejos 7:05

13 Geogebra y Matemáticas. Números complejos

Jose Luis Tabara Carbajo 1 views

▶ DailyTube

Discover amazing videos from around the world

Browse

Home 🎲 Random Video Trending Music Films

Categories

Gaming Sport News Tech

More

Entertainment Comedy Travel Sitemap

Powered by Dailymotion API · 2026 DailyTube