▶ DailyTube
Home 🎲 Random Trending Music Gaming

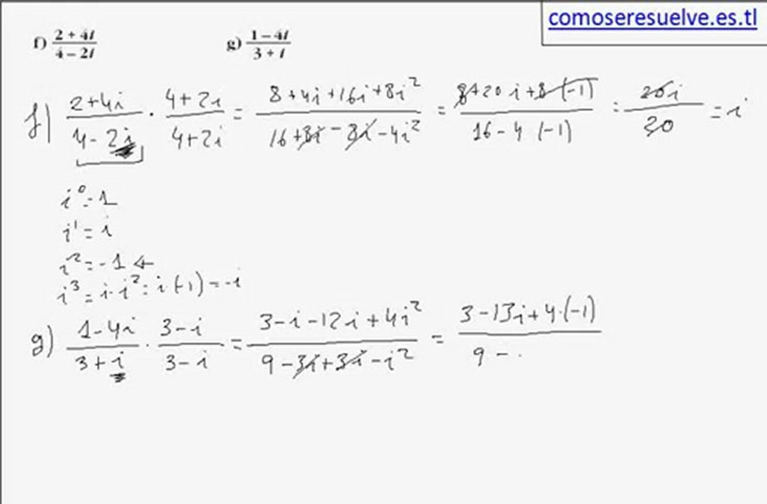
Cociente de número complejos y operaciones en forma binómica

94 views · 13y ago 🎲 Random
Institweet
Institweet View Channel →

Como se resuelve.Cociente de número complejos y operaciones en forma binómica

Related Videos

Operaciones de números complejos en forma binómica ejemplo 2 5:21

Operaciones de números complejos en forma binómica ejem...

Institweet 4 views

operaciones con numeros complejos en forma binómica 7:46

operaciones con numeros complejos en forma binómica

Institweet 8 views

Operaciones de números complejos en forma binómica ejemplo 3 3:29

Operaciones de números complejos en forma binómica ejem...

Institweet 1 views

Operaciones de números complejos en forma binómica ejemplo 1 2:20

Operaciones de números complejos en forma binómica ejem...

Institweet 245 views

08 Python y Matemáticas. Números complejos 9:26

08 Python y Matemáticas. Números complejos

Jose Luis Tabara Carbajo 3 views

Operaciones de números complejos en forma binómica ejemplo 4 4:57

Operaciones de números complejos en forma binómica ejem...

Institweet 245 views

01 Julia y Matemáticas. Operaciones con numeros 7:11

01 Julia y Matemáticas. Operaciones con numeros

Jose Luis Tabara Carbajo 1 views

Cociente de número complejos en forma binómica 5:03

Cociente de número complejos en forma binómica

Institweet 107 views

13 Geogebra y Matemáticas. Números complejos 7:05

13 Geogebra y Matemáticas. Números complejos

Jose Luis Tabara Carbajo 1 views

06 Geogebra CAS y Matemáticas. Números complejos 6:42

06 Geogebra CAS y Matemáticas. Números complejos

Jose Luis Tabara Carbajo 6 views

09 Sagemath y Matemáticas. Números complejos 5:08

09 Sagemath y Matemáticas. Números complejos

Jose Luis Tabara Carbajo 35 views

Matrices y sus operaciones. Matematicas 2º bachillerato 11:30

Matrices y sus operaciones. Matematicas 2º bachillerato

Institweet 9 views

▶ DailyTube

Discover amazing videos from around the world

Browse

Home 🎲 Random Video Trending Music Films

Categories

Gaming Sport News Tech

More

Entertainment Comedy Travel Sitemap

Powered by Dailymotion API · 2026 DailyTube