▶ DailyTube
Home 🎲 Random Trending Music Gaming

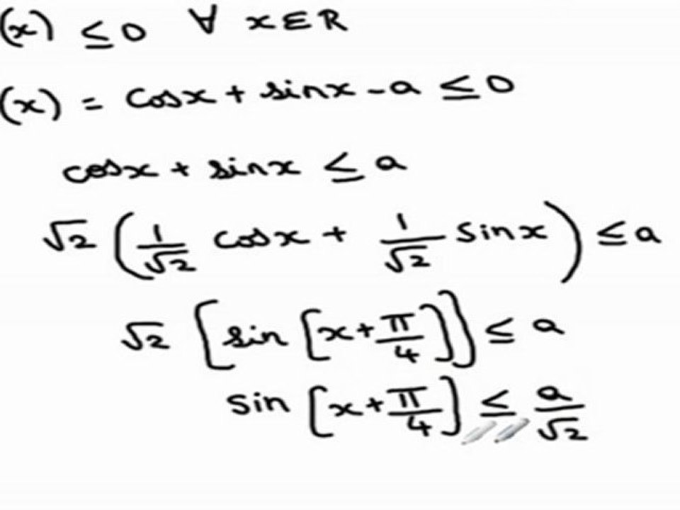
Application of Derivatives - Increasing and decreasing Functions -IV

300 views · 14y ago 🎲 Random
Saameer Mody
Saameer Mody View Channel →

Application of Derivatives - Increasing and decreasing Functions -IV 

Related Videos

Application of Derivatives - Increasing and decreasing Functions -II 3:42

Application of Derivatives - Increasing and decreasing ...

Saameer Mody 166 views

Application of Derivatives - Increasing and decreasing Functions -III 2:02

Application of Derivatives - Increasing and decreasing ...

Saameer Mody 128 views

Application of Derivatives - Increasing and decreasing Functions 3:10

Application of Derivatives - Increasing and decreasing ...

Saameer Mody 159 views

Calculus I - Increasing/Decreasing Functions and the 1st Derivative (with Example 1) 25:27

Calculus I - Increasing/Decreasing Functions and the 1s...

The Infinite Looper 3 views

(Application of Derivatives) - Increasing and decreasing function 2:50

(Application of Derivatives) - Increasing and decreasin...

Saameer Mody 1 views

FSc Math Book2, Ch 2, LEC 26: Increasing and Decreasing Functions 24:04

FSc Math Book2, Ch 2, LEC 26: Increasing and Decreasing...

Maktab .pk 16 views

Monotonic Functions - increasing, decreasing or constant on an interval 1 8:52

Monotonic Functions - increasing, decreasing or constan...

WhassEduc Academy 21 views

Lecture-8. Business Calculus. Increasing and Decreasing Functions. 26:18

Lecture-8. Business Calculus. Increasing and Decreasing...

Science & Reading 9 views

(Application of Derivatives) - Decreasing function 3:32

(Application of Derivatives) - Decreasing function

Saameer Mody 47 views

Test Increasing-Decreasing, local Max and Min by First Derivative 9:05

Test Increasing-Decreasing, local Max and Min by First ...

WhassEduc Academy 32 views

Best Video Module for Increasing and Decreasing Friction 3:28

Best Video Module for Increasing and Decreasing Frictio...

Manish Mathur 2 views

Math 151 Pre-calc1 - increasing and decreasing 5:24

Math 151 Pre-calc1 - increasing and decreasing

Ullman First Year Calculus 2 views

▶ DailyTube

Discover amazing videos from around the world

Browse

Home 🎲 Random Video Trending Music Films

Categories

Gaming Sport News Tech

More

Entertainment Comedy Travel Sitemap

Powered by Dailymotion API · 2026 DailyTube