FSc Math Book2, Ch 2, LEC 26: Increasing and Decreasing Functions

16 views · 12y ago 🎲 Random

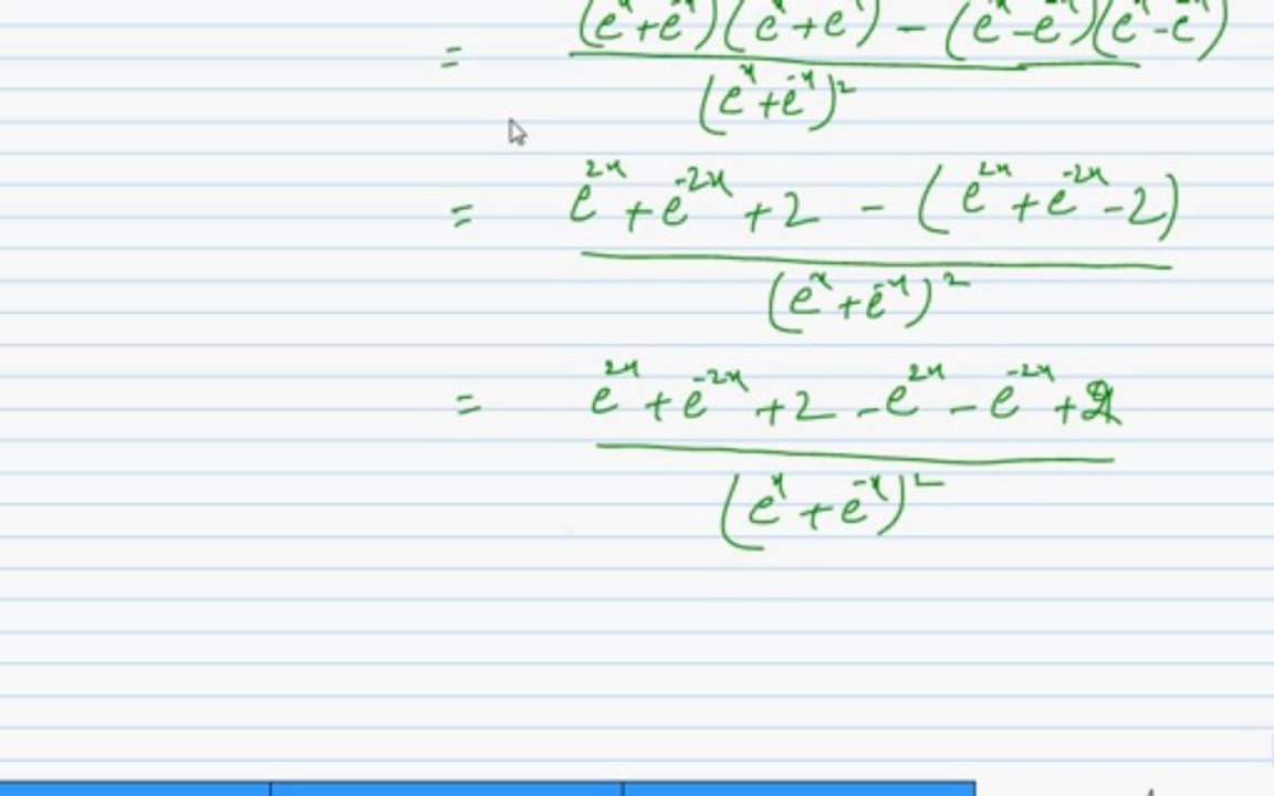
This video lecture from Geometry (F.Sc. second year Mathematics) covers: Introduction and detailed discussion on increasing and decreasing functions. Find more e-learning material and educational video lectures in Urdu at maktab.pk. These videos are free to use for promotional and commercial purpose by keeping the credits to Maktab.