▶ DailyTube
Home 🎲 Random Trending Music Gaming

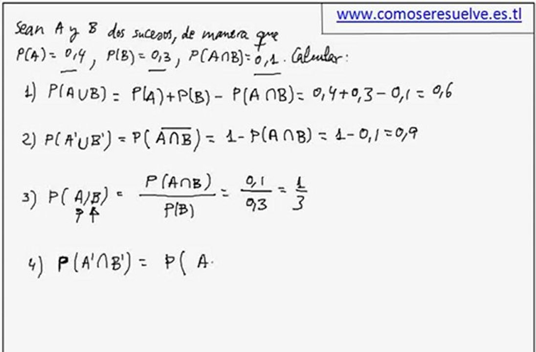
Calculo de probabilidades con cartas ejemplo 5

31 views · 13y ago 🎲 Random
Institweet
Institweet View Channel →

Como se resuelve. Es un problema de calculo de probabilidades. Mas ejercicios en mi web.

Related Videos

Calculo de probabilidades con cartas ejemplo 3 3:28

Calculo de probabilidades con cartas ejemplo 3

Institweet 6 views

Calculo de probabilidades con cartas ejemplo 6 5:00

Calculo de probabilidades con cartas ejemplo 6

Institweet 58 views

Calculo de probabilidades con cartas ejemplo 2 2:41

Calculo de probabilidades con cartas ejemplo 2

Institweet 1 views

Calculo de probabilidades con cartas ejemplo 4 5:16

Calculo de probabilidades con cartas ejemplo 4

Institweet 1 views

Calculo de probabilidades con cartas ejemplo 1 2:44

Calculo de probabilidades con cartas ejemplo 1

Institweet 2 views

Calculo de probabilidades con monedas ejemplo 1 2:05

Calculo de probabilidades con monedas ejemplo 1

Institweet 4 views

Calculo de probabilidades de dos sucesos ejemplo 2 2:37

Calculo de probabilidades de dos sucesos ejemplo 2

Institweet 49 views

Calculo de probabilidades de dos sucesos ejemplo 1 3:30

Calculo de probabilidades de dos sucesos ejemplo 1

Institweet 2 views

Calculo de probabilidades con dados ejemplo 1 2:23

Calculo de probabilidades con dados ejemplo 1

Institweet 151 views

Probabilidades. Ejercicios con cartas. Ejercicios 4 y 5. 9:37

Probabilidades. Ejercicios con cartas. Ejercicios 4 y 5...

Graham Hans 8 views

Calculo de probabilidades con leyes de Morgan 3:08

Calculo de probabilidades con leyes de Morgan

Institweet 176 views

Calculo de probabilidades de dados ejercicio 3 3:21

Calculo de probabilidades de dados ejercicio 3

Institweet 32 views

▶ DailyTube

Discover amazing videos from around the world

Browse

Home 🎲 Random Video Trending Music Films

Categories

Gaming Sport News Tech

More

Entertainment Comedy Travel Sitemap

Powered by Dailymotion API · 2026 DailyTube