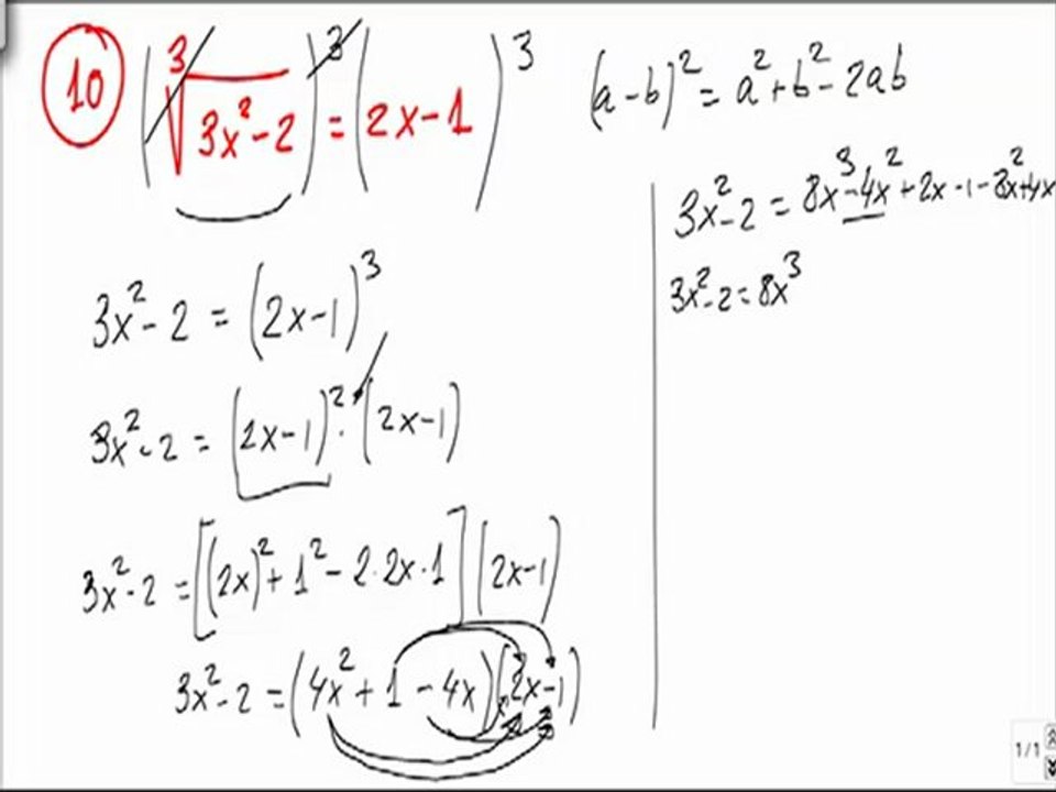
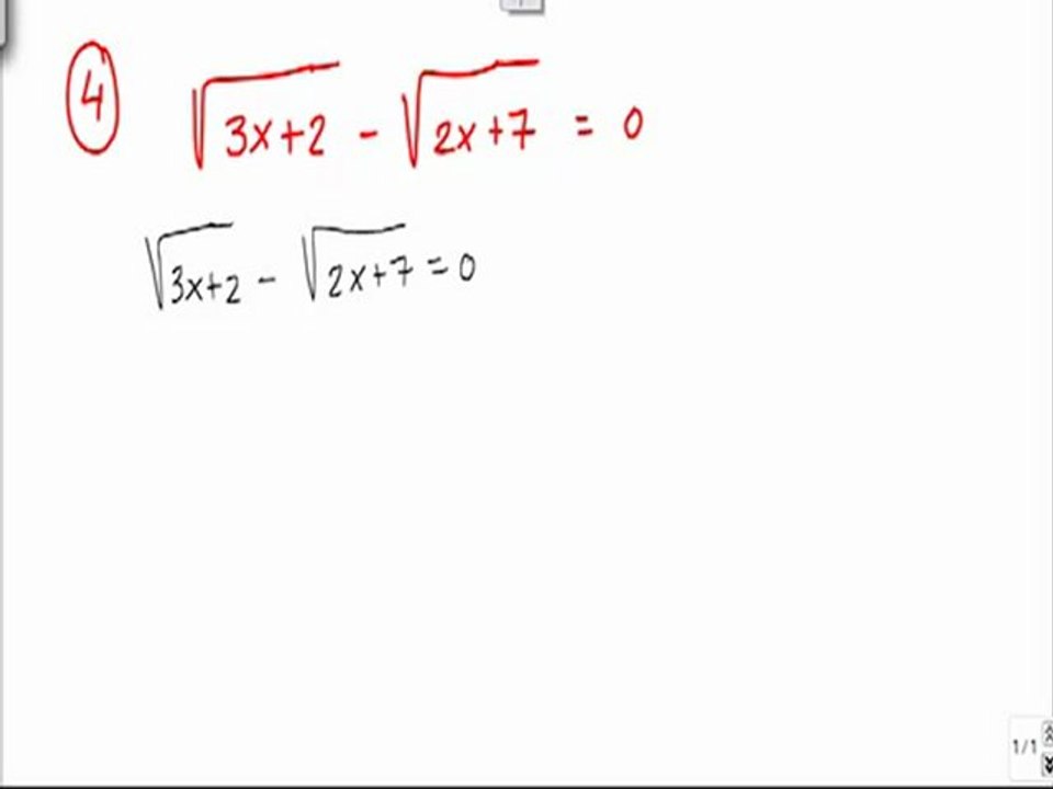
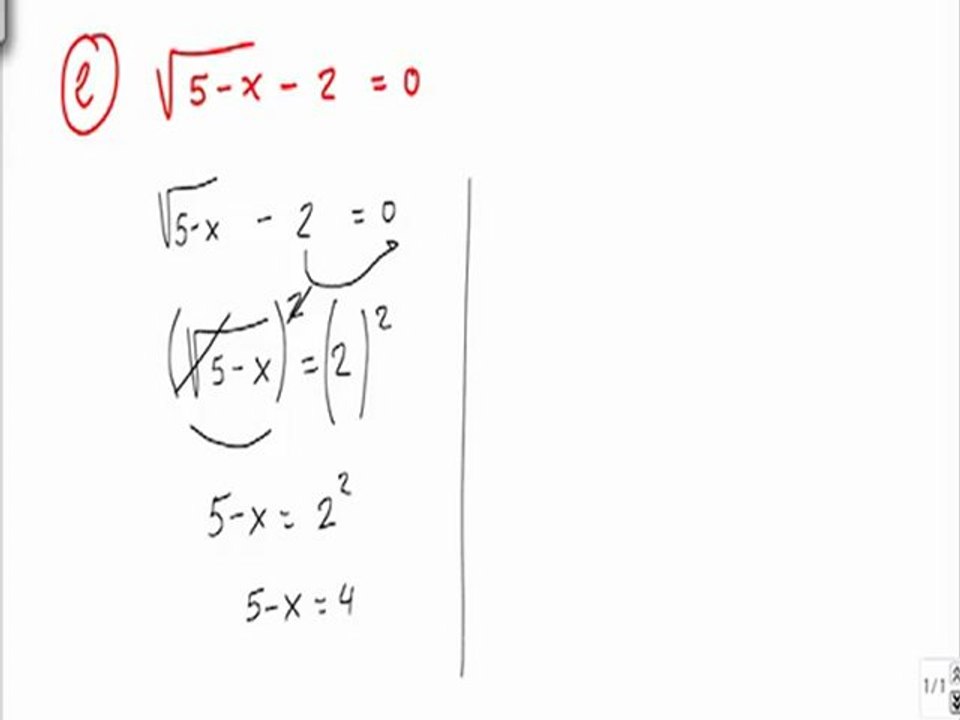
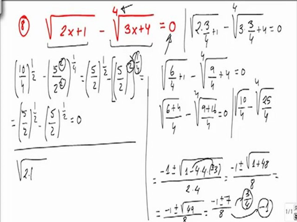
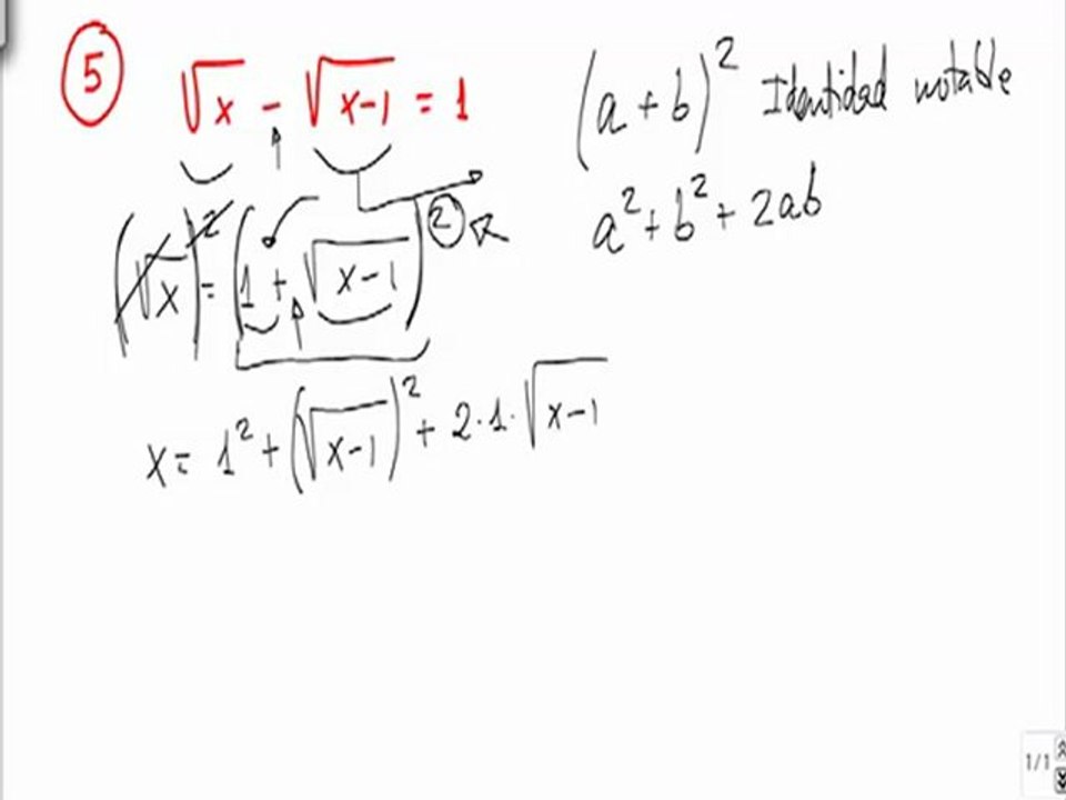
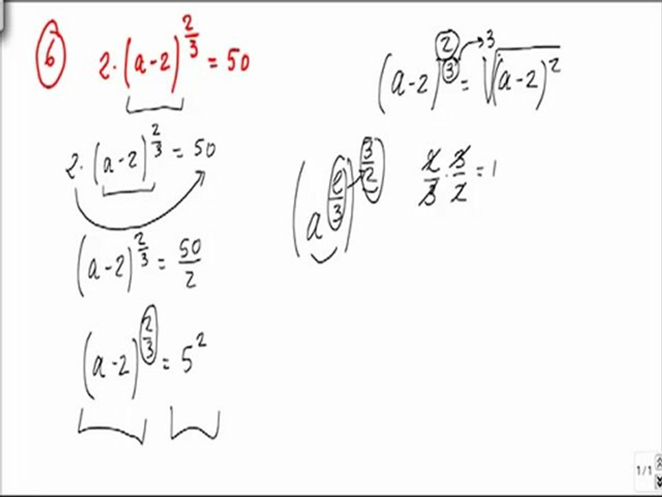
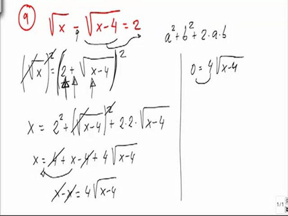
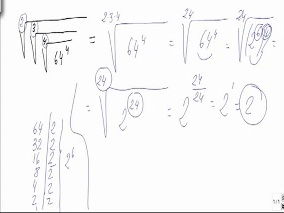
Ejercicios resueltos de radicales problema 2

96 views · 13y ago 🎲 Random

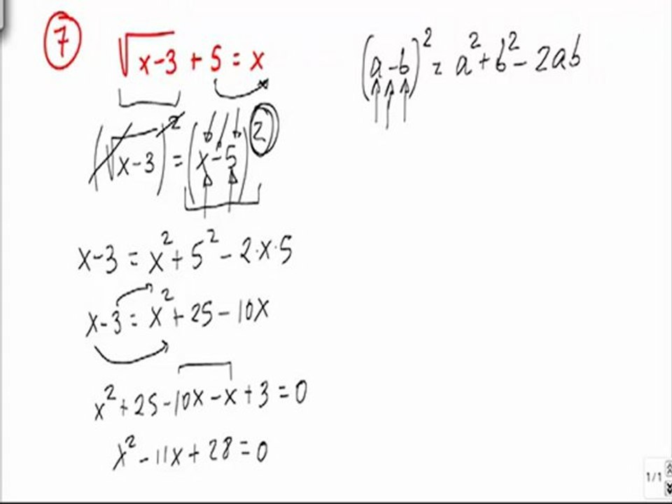
Es un video de un problema resuelto de radicales. Si quieres ver más problemas resueltos de electrónica, neumática, termodinámica, teoría de circuitos, estructuras, hidráulica o maquinas eléctricas (problemas resueltos de oposiciones tecnología secundaria) visita la Web www.inevid.com, si quieres ver más problemas resueltos de física visita www.comoseresuelvelafisica.com y si quieres mas problemas resueltos de matemáticas visita comoseresuelve.com