Theory on Limits and Continuity for IIT JEE Maths Preparation, IIT Papers

1 views · 13y ago 🎲 Random

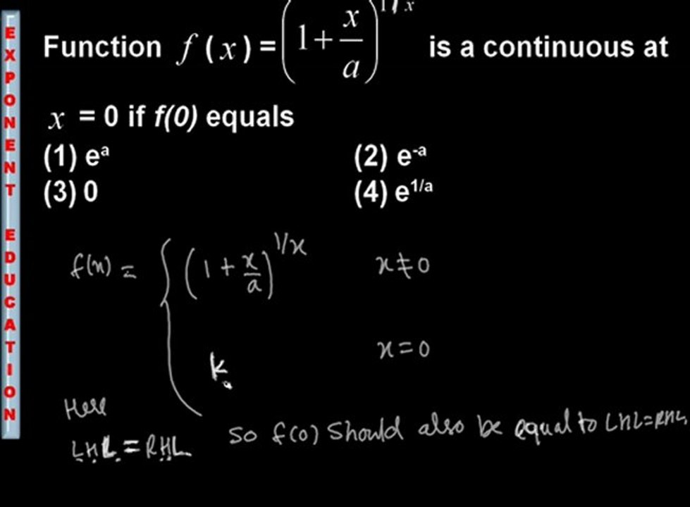
ExponentEducation.com provides IITJEE, AIEEE Maths, IITJEE, AIEEE Physics and IITJEE, AIEEE Chemistry video study material, lectures and tutorials. In this video you will see a problem solved on Theory on Limits and Continuity of JEE Maths Syllabus. The website http://crackiitjee.com/video-lectures/ contains FREE video lectures that help the students to prepare themselves according to the new exam pattern of IIT JEE. It also has study tips and enables them to revise the problems until the topic is clear. Students can also refer to the videos on You Tube Channel http://www.youtube.com/exponenteducation for more video lectures and can stay in touch with Exponent Education on Facebook http://www.facebook.com/ExponentEducation?ref=hl for regular updates.