▶ DailyTube
Home 🎲 Random Trending Music Gaming

Differential equations - Linear Differentiation

135 views · 14y ago 🎲 Random
Saameer Mody
Saameer Mody View Channel →

Differential equations - Linear Differentiation 

Related Videos

Differential equations - Linear Differentiation solved problem 6:22

Differential equations - Linear Differentiation solved ...

Saameer Mody 1 views

Differential Equations - first order differentiation, elimination 2:56

Differential Equations - first order differentiation, e...

Saameer Mody 485 views

Differential Equations - Elimination by twice differentiation 1:25

Differential Equations - Elimination by twice different...

Saameer Mody 378 views

Class 10 Maths Pair of Linear Equations in Two Variables Introduction | Class 10 Maths NCERT Exercise 3.1 | Class 10 Maths CBSE Exercise 3.1 | Class 10 Maths UP Board Exercise 3.1| Class 10 Maths Pair of Linear Equations in Two Variables Introduction | 29:55

Class 10 Maths Pair of Linear Equations in Two Variable...

MATHEMATICS ANALYSIS CLASS 7 views

Differential Equations - Linear differential equation 1:43

Differential Equations - Linear differential equation

Saameer Mody 1 views

Partial Differential Equations Lecture #15 Step to Solve Homogeneous Linear Differential Equation 16:53

Partial Differential Equations Lecture #15 Step to Solv...

Jksmart Lecture 127 views

Differential Equations - Conversion to standard form of linear differential equation 4:02

Differential Equations - Conversion to standard form of...

Saameer Mody 15 views

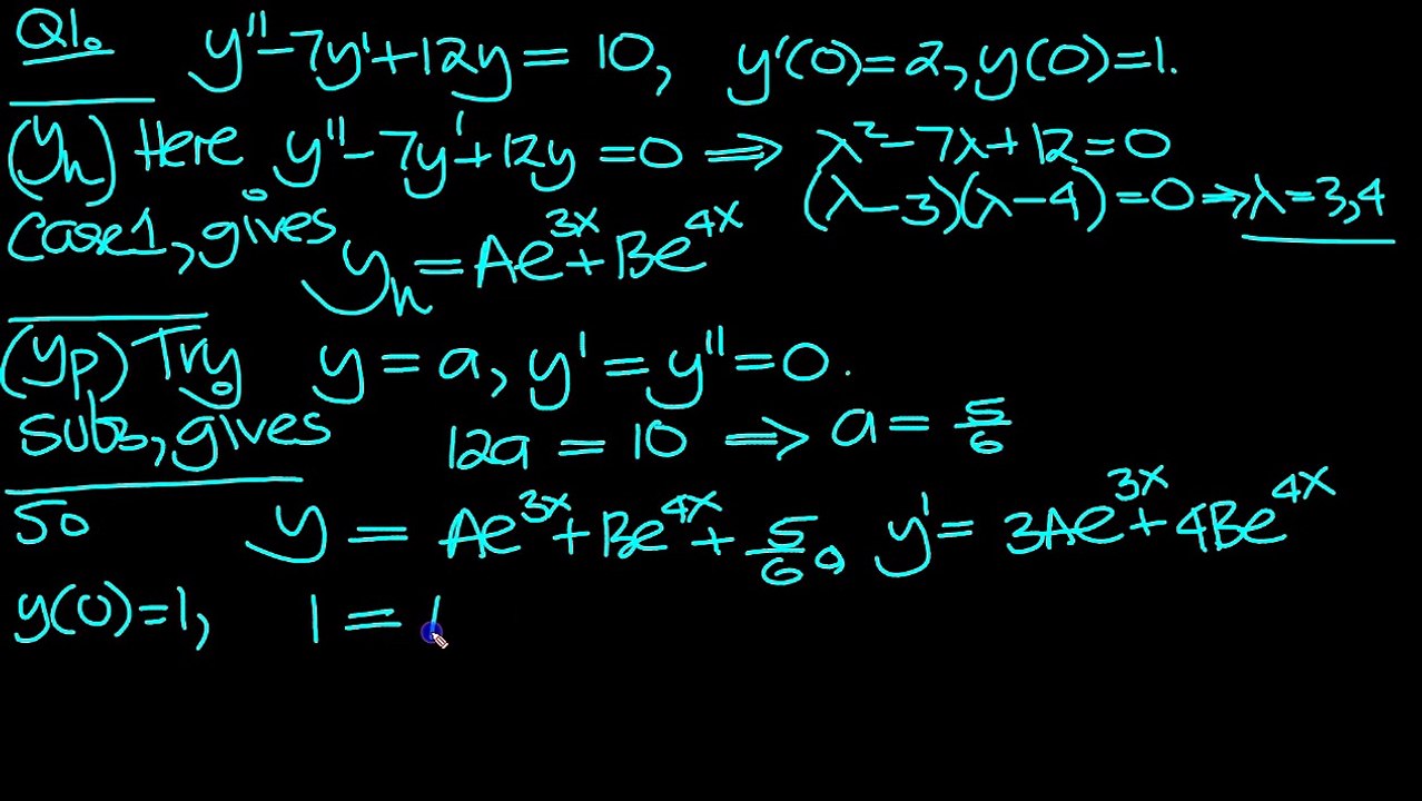
Second Order Non Homogeneous Linear Differential Equations with ics Q1 5:58

Second Order Non Homogeneous Linear Differential Equati...

Cain Lew 1 views

[Read] Semigroups of Linear Operators and Applications to Partial Differential Equations  For Free 0:37

[Read] Semigroups of Linear Operators and Applications ...

tomiadamson 3 views

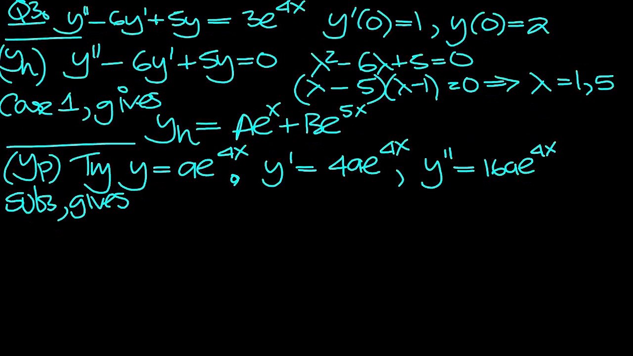
Second Order Non Homogeneous Linear Differential Equations with ics Q3 6:18

Second Order Non Homogeneous Linear Differential Equati...

Cain Lew 3 views

LINEAR EQUATIONS IN TWO VARIABLES NCERT CBSE CLASS 9 INTRODUCTION 2:46

LINEAR EQUATIONS IN TWO VARIABLES NCERT CBSE CLASS 9 IN...

Yogesh TechNews. 1 views

CBSE Class 10 Mathematics Animated Video Lecture : Pair of Linear Equations in Two Variables 8:32

CBSE Class 10 Mathematics Animated Video Lecture : Pair...

Anytimestudies 50 views

▶ DailyTube

Discover amazing videos from around the world

Browse

Home 🎲 Random Video Trending Music Films

Categories

Gaming Sport News Tech

More

Entertainment Comedy Travel Sitemap

Powered by Dailymotion API · 2026 DailyTube