▶ DailyTube
Home 🎲 Random Trending Music Gaming

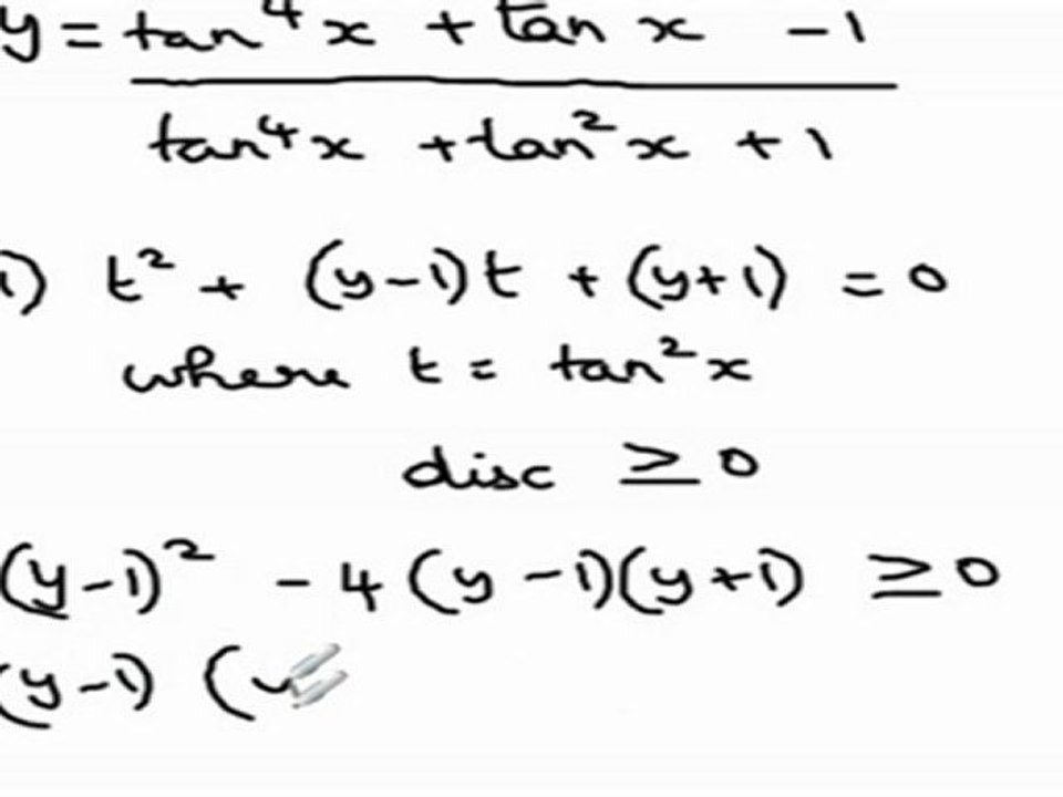
(Application of Derivatives) - Deciding maximum by trigonometric methods

40 views · 14y ago 🎲 Random
Saameer Mody
Saameer Mody View Channel →

Practice questions for Differential Calculus (Application of Derivatives) 

Related Videos

(Application of Derivatives) - Deciding the limits within which maximum can lie 4:33

(Application of Derivatives) - Deciding the limits with...

Saameer Mody 24 views

Trigonometric Derivatives Example 1 6:51

Trigonometric Derivatives Example 1

Krista King 4 views

Derivatives of trigonometric functions 2:39

Derivatives of trigonometric functions

Dameon Ella 2 views

Trigonometric Derivatives - Overview 14:56

Trigonometric Derivatives - Overview

Krista King 1 views

Derivative of composition of inverse trigonometric and trigonometric functions 5:15

Derivative of composition of inverse trigonometric and ...

Saameer Mody 321 views

Continuity and Differentiabilty - Derivative of inverse trigonometric functions 5:16

Continuity and Differentiabilty - Derivative of inverse...

Saameer Mody 345 views

Read Equity Derivatives and Hybrids: Markets Models and Methods (Applied Quantitative Finance) 0:07

Read Equity Derivatives and Hybrids: Markets Models and...

Ykruger 2 views

Combining Trigonometric Function Graphs Using Graphical Methods 16:15

Combining Trigonometric Function Graphs Using Graphical...

Engineers Academy 0 views

READ book  Efficient Methods for Valuing Interest Rate Derivatives Full Free 0:33

READ book Efficient Methods for Valuing Interest Rate ...

riversilva 0 views

(Application of Derivatives) - Maximum and minimum of higher degree polynomials 4:03

(Application of Derivatives) - Maximum and minimum of h...

Saameer Mody 2 views

Read Equity Derivatives and Hybrids: Markets Models and Methods (Applied Quantitative Finance) 0:05

Read Equity Derivatives and Hybrids: Markets Models and...

Gunzburg 0 views

Choosing A Career : What are different methods of deciding on a career? 1:01

Choosing A Career : What are different methods of decid...

VideojugMoneyandCareers 3 views

▶ DailyTube

Discover amazing videos from around the world

Browse

Home 🎲 Random Video Trending Music Films

Categories

Gaming Sport News Tech

More

Entertainment Comedy Travel Sitemap

Powered by Dailymotion API · 2026 DailyTube