▶ DailyTube
Home 🎲 Random Trending Music Gaming

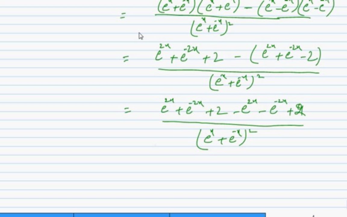
Integrals of Inverse Hyperbolic Functions 1

95 views · 14y ago 🎲 Random
Krista King
Krista King View Channel →

http://www.integralcalc.com/integrals-of-inverse-hyperbolic-functions/<br /><br />Integrals of Inverse Hyperbolic Functions calculus problem example. <br /><br />For more calculus help, please visit :) http://integralcalc.com

Related Videos

Integrals of Hyperbolic Functions Example 1 3:37

Integrals of Hyperbolic Functions Example 1

Krista King 86 views

FSc Math Book2, Ch 2, LEC 20: Differentiation of Hyperbolic and Inverse Hyperbolic functions 31:21

FSc Math Book2, Ch 2, LEC 20: Differentiation of Hyperb...

Maktab .pk 6 views

Standard integrals : Integrals of Trigonometric Functions 7:37

Standard integrals : Integrals of Trigonometric Functio...

Punjab Group Of Colleges 13 views

FSc Math Book2, Ch 2, LEC 20 Differentiation of Hyperbolic and Inverse Hyperbolic functions 31:21

FSc Math Book2, Ch 2, LEC 20 Differentiation of Hyperbo...

Maktab .pk 3 views

Calculus I - Derivative of Inverse Hyperbolic Sine Function arcsinh(x) - Proof 13:10

Calculus I - Derivative of Inverse Hyperbolic Sine Func...

The Infinite Looper 81 views

Calculus I - Derivative of Inverse Hyperbolic Cosine Function arccosh(x) - Proof 12:28

Calculus I - Derivative of Inverse Hyperbolic Cosine Fu...

The Infinite Looper 24 views

Calculus I - Derivative of Inverse Hyperbolic Tangent Function arctanh(x) - Proof 7:39

Calculus I - Derivative of Inverse Hyperbolic Tangent F...

The Infinite Looper 90 views

Derivatives of Inverse Hyperbolic Functions 1 3:11

Derivatives of Inverse Hyperbolic Functions 1

Krista King 119 views

Calculus I - Derivative of Inverse Hyperbolic Cotangent Function arccoth(x) - Proof 5:56

Calculus I - Derivative of Inverse Hyperbolic Cotangent...

The Infinite Looper 120 views

Calculus I - Derivative of Inverse Hyperbolic Secant Function arcsech(x) - Proof 10:05

Calculus I - Derivative of Inverse Hyperbolic Secant Fu...

The Infinite Looper 3 views

Calculus I - Derivative of Inverse Hyperbolic Cosecant Function arccsch(x) - Proof 11:19

Calculus I - Derivative of Inverse Hyperbolic Cosecant ...

The Infinite Looper 7 views

Calculus: Integral: Trigonometric Functions question 10 1:26

Calculus: Integral: Trigonometric Functions question 10

trendingvideos 2.7K views

▶ DailyTube

Discover amazing videos from around the world

Browse

Home 🎲 Random Video Trending Music Films

Categories

Gaming Sport News Tech

More

Entertainment Comedy Travel Sitemap

Powered by Dailymotion API · 2026 DailyTube