▶ DailyTube
Home 🎲 Random Trending Music Gaming

mathematics - trigonometric graphs

1 views · 15y ago 🎲 Random
Dimitris Poimenidis
Dimitris Poimenidis View Channel →

trigonometric graphs, more... http://www.sonom.gr

Related Videos

Easy way remember the unit circle Trig Functions precalculus  trigonometry derivation rigorous 21:21

Easy way remember the unit circle Trig Functions precal...

mathgotserved 4 views

Trigonometric Function Graphs and Graph Transformations 15:18

Trigonometric Function Graphs and Graph Transformations

Engineers Academy 1 views

Precalculus Trigonometry Trig Tutor Tutoring Fountain Valley Costa Mesa 0:25

Precalculus Trigonometry Trig Tutor Tutoring Fountain V...

mcstutoring 11 views

FSc Math Book1, Ch 11, LEC 5: Graphs of Trigonometric Functions 25:45

FSc Math Book1, Ch 11, LEC 5: Graphs of Trigonometric F...

Maktab .pk 2 views

Trigonometric Functions and their Graphs - EX 11.1 16:29

Trigonometric Functions and their Graphs - EX 11.1

Apni University 559 views

Combining Trigonometric Function Graphs Using Graphical Methods 16:15

Combining Trigonometric Function Graphs Using Graphical...

Engineers Academy 0 views

Some points of trigonometric Ratios | some points of trigonometric Ratios in Hindi | some points of trigonometric Ratios mathematical tool #cityclasses 0:54

Some points of trigonometric Ratios | some points of tr...

cityclasses 10 views

Range of trigonometric function | Range of trigonometric function in Hindi | Range of trigonometric function mathematical tool #cityclasses 0:54

Range of trigonometric function | Range of trigonometri...

cityclasses 7 views

Full version  Precalculus: A Graphing Approach  For Kindle 0:36

Full version Precalculus: A Graphing Approach For Kin...

weyuk 0 views

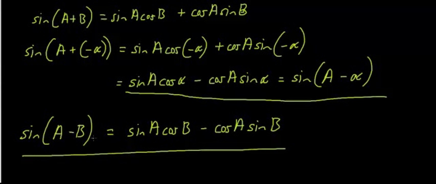
How To Transform (A+B) Trigonometric Identities Into (A-B) Trig Identities 3:06

How To Transform (A+B) Trigonometric Identities Into (A...

Maths Proofs Videos 3 views

6.4 Graphs of Tangent and other Trig Functions 1-13-15 1:02:34

6.4 Graphs of Tangent and other Trig Functions 1-13-15

Mr. Hager 26 views

Read Precalculus: Concepts Through Functions A Unit Circle Approach to Trigonometry (3rd Edition) 0:07

Read Precalculus: Concepts Through Functions A Unit Cir...

Vickiepittman 12 views

▶ DailyTube

Discover amazing videos from around the world

Browse

Home 🎲 Random Video Trending Music Films

Categories

Gaming Sport News Tech

More

Entertainment Comedy Travel Sitemap

Powered by Dailymotion API · 2026 DailyTube