▶ DailyTube
Home 🎲 Random Trending Music Gaming

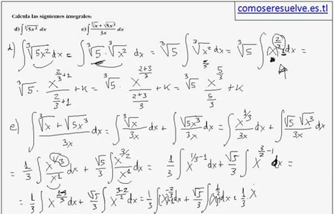
APRENDER INTEGRALES CON VIDEOS

2 views · 15y ago 🎲 Random
ingedgar1
ingedgar1 View Channel →

APRENDER INTEGRALES CON VIDEOS EN: http://comoaprendermatematicas.blogspot.com

Related Videos

Manifestation des policiers à Bayonne. 10/05/12 Vidéos déclarations intégrales 1. 3:04

Manifestation des policiers à Bayonne. 10/05/12 Vidéos ...

BABinfo Pays Basque 126 views

Manifestation des policiers à Bayonne. 10/05/12 Vidéos déclarations intégrales 2. 1:45

Manifestation des policiers à Bayonne. 10/05/12 Vidéos ...

BABinfo Pays Basque 62 views

PANCITOS INTEGRALES "Pan integral casero, deliciosos panecillos integrales " 2:07

PANCITOS INTEGRALES "Pan integral casero, deliciosos pa...

Karsen Chet 18 views

Servicios Integrales - Madrid - Ais Servicios Integrales 2000 1:22

Servicios Integrales - Madrid - Ais Servicios Integrale...

videocanalempresa 36 views

Descubrí los trabajos que se realizan en la Subsecretaría de Derechos Humanos Integrales. Entrevista con José Antonio Amable, subsecretario de Derechos Humanos Integrales. 0:00

Descubrí los trabajos que se realizan en la Subsecretar...

Misiones Online 0 views

Integrales I - Integral inmediata de una función trigonométrica 2:43

Integrales I - Integral inmediata de una función trigon...

Sabio Online 2 views

Cálculo Integral: Integrales de Algunas Funciones Trigonométricas - Sesión 3 1/3 14:09

Cálculo Integral: Integrales de Algunas Funciones Trigo...

Woodie Cayla 1 views

Solución de par de integrales exponencial y seno y coseno - Cálculo integral 8:37

Solución de par de integrales exponencial y seno y cose...

Temas de cálculo 100 views

35 Intégrales : généralités 27:59

35 Intégrales : généralités

netprof 1 views

Integrales directas con raices 7:27

Integrales directas con raices

Institweet 15 views

TGP SERVICIOS INTEGRALES 1:37

TGP SERVICIOS INTEGRALES

gladera 1 views

Exercice 7 (Calculs d'intégrales) [06866] 16:44

Exercice 7 (Calculs d'intégrales) [06866]

Younoss 27 views

▶ DailyTube

Discover amazing videos from around the world

Browse

Home 🎲 Random Video Trending Music Films

Categories

Gaming Sport News Tech

More

Entertainment Comedy Travel Sitemap

Powered by Dailymotion API · 2026 DailyTube