Sistemas de Ecuaciones Lineales con dos incógnitas. Sustitución. Caso y2

9 views · 10mo ago 🎲 Random

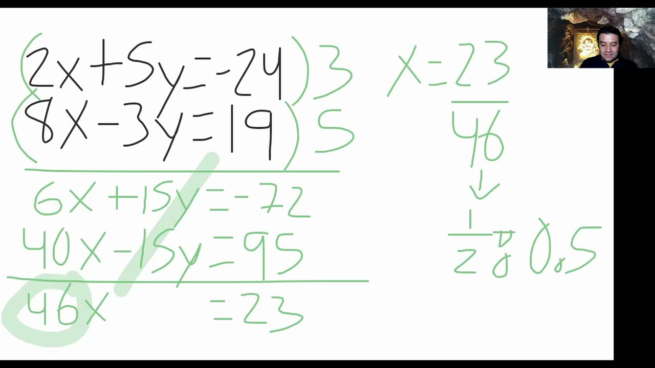
De la manera más breve posible, se explica cómo resolver un sistema de ecuaciones lineales con dos incógnitas, con el método de sustitución, a través del despeje de y2<br /><br />No olviden visitar el blog y sus redes sociales para recibir más noticias y sorpresas de este espacio multimedios Divinortv.<br /><br />Blog:<br />http://www.divinortv.com/<br /><br />Redes Sociales:<br />https://www.youtube.com/@divinortv<br />https://www.dailymotion.com/divinortv<br />https://www.facebook.com/divinortv<br />https://twitter.com/divinortv<br />https://instagram.com/divinortv1<br />http://divinortv.tumblr.com/<br />https://mx.ivoox.com/es/divinortv_nq_434581_1.html<br />https://t.me/divinortv<br />https://www.tiktok.com/@divinortv<br />https://www.pinterest.com.mx/divinortv<br />https://www.reddit.com/user/divinortv<br />https://www.threads.net/@divinortv1<br />https://whatsapp.com/channel/0029VaQhkc0L7UVTcmWatG0k<br />https://ok.ru/profile/606832537639<br /><br />También visiten:<br />http://divinortvgames.blogspot.com<br />http://jugandolealbroker.blogspot.com<br />http://matematicazrealizadaz.blogspot.com<br />