▶ DailyTube
Home 🎲 Random Trending Music Gaming

Your reflections on airplane baggage limits and holiday packing

63 views · 10mo ago 🎲 Random
National World - LocalTV
National World - LocalTV View Channel →

Do you often get overcharged for baggage at the airport and do you think airports should allow you to take more on holiday with you?

Related Videos

Leeds headlines 15 July 2022: Speed limits on outer Leeds ring road could be cut after fatal accidents 1:59

Leeds headlines 15 July 2022: Speed limits on outer Lee...

Yorkshire Evening Post 10 views

Why The Seat in the Front of the Airplane is Off-Limits 0:50

Why The Seat in the Front of the Airplane is Off-Limits

Buzz60 14 views

Speed limits and number plates for cyclists - Yorkshire Post 1:38

Speed limits and number plates for cyclists - Yorkshire...

Yorkshire Post 1 views

Airplane Essentials Tips for Traveling | Holiday Carry on Bag Packing Ideas | Jazzy Girl Stuff 4:46

Airplane Essentials Tips for Traveling | Holiday Carry ...

Wolip 1 views

Airplane Etiquette: The Seat in Front Is Off-Limits 0:50

Airplane Etiquette: The Seat in Front Is Off-Limits

Buzz60 27 views

https://www.yorkshirepost.co.uk/news/transport/speed-limits-back-on-leeds-m621-motorway-as-roadworks-start-today-1-9671326 0:30

https://www.yorkshirepost.co.uk/news/transport/speed-li...

National World - Archive 1 views

Arizona lakes hit capacity limits as holiday weekend starts 1:33

Arizona lakes hit capacity limits as holiday weekend st...

ABC15 7 views

School zone speed limits back in force despite most children still being on holidays 1:44

School zone speed limits back in force despite most chi...

ABC NEWS (Australia) 230 views

Coronavirus pandemic: Italy considers tighter limits during holidays 1:48

Coronavirus pandemic: Italy considers tighter limits du...

FRANCE 24 English 1 views

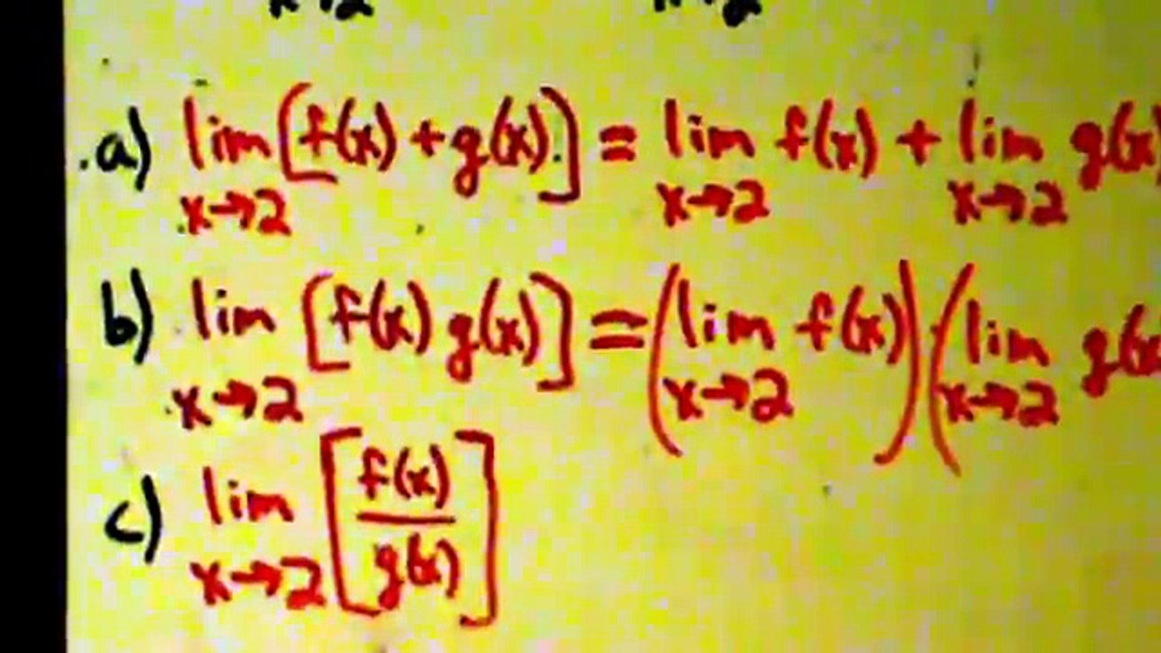
Maths Calculus | Limits Tutorial | Introduction to limits |  Estimate Limits | Whether limits of functions exist | Properties of Limits | Direct Substitution to evaluate limits 31:39

Maths Calculus | Limits Tutorial | Introduction to limi...

KSS 4 views

How to set Units & Limits in AutoCAD || units & Limits || Autocad Units & Limits || CAD CAREER 7:30

How to set Units & Limits in AutoCAD || units & Limits ...

EngrT.Aliasghar 4 views

Calculus I - Limits - Evaluating Limits - Examples 1 and 2 - Using Limit Properties 5:38

Calculus I - Limits - Evaluating Limits - Examples 1 an...

The Infinite Looper 2 views

▶ DailyTube

Discover amazing videos from around the world

Browse

Home 🎲 Random Video Trending Music Films

Categories

Gaming Sport News Tech

More

Entertainment Comedy Travel Sitemap

Powered by Dailymotion API · 2026 DailyTube