▶ DailyTube
Home 🎲 Random Trending Music Gaming

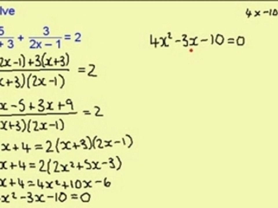
FINDING A NUMBER GIVEN ITS FRACTIONAL PART

0 views · 3y ago 🎲 Random
CERTIFIED MATH MAJORS
CERTIFIED MATH MAJORS View Channel →

A visual approach to finding a number given its fractional part.

Related Videos

How to Solve Linear Equations involving Fractions with MathOGuide Basics of Algebra 3:09

How to Solve Linear Equations involving Fractions with ...

MathoGuide 61 views

DIONIS __ 116 Solve Equations Involving Fractions 10:05

DIONIS __ 116 Solve Equations Involving Fractions

Sportsnet 1K views

How to Solve linear Equations involving Fractions by Cross Multiplication method 3:14

How to Solve linear Equations involving Fractions by Cr...

MathoGuide 48 views

How to Solve Linear Equations involving Distributive Property | Linear Equations Algebra basics 2:52

How to Solve Linear Equations involving Distributive Pr...

MathoGuide 20 views

4.5 Equations with Fractions 9-24-14 33:13

4.5 Equations with Fractions 9-24-14

Mr. Hager 114 views

How to solve Linear equations in Algebra #algebra #linearequations 0:37

How to solve Linear equations in Algebra #algebra #line...

MathoGuide 244 views

Algebra Basics: Solving Basic Equations Part 1 - Math Antics 11:08

Algebra Basics: Solving Basic Equations Part 1 - Math A...

heidijesus6552 57 views

How to Solve Linear Equations With Variables on Both Sides : Linear Algebra Education 1:54

How to Solve Linear Equations With Variables on Both Si...

Billie Grafton 60 views

How to solve Quadratic Equations by Factoring?  math olympiad question #maths #mathematics #algebra 4:10

How to solve Quadratic Equations by Factoring? math ol...

The Prof 26 views

Solving Exponential Equations | maths olympiad questions #maths #mathematics #algebra 5:26

Solving Exponential Equations | maths olympiad question...

The Prof 17 views

2.2(2) & 2.3 Finding Complete Graphs and Solving Linear and Quadratic Equations Algebraically 9-22-14 1:00:41

2.2(2) & 2.3 Finding Complete Graphs and Solving Linear...

Mr. Hager 337 views

How to solve this Equations?  math olympiad question #maths #mathematics #algebra #mathematicstricks 4:24

How to solve this Equations? math olympiad question #m...

The Prof 7 views

▶ DailyTube

Discover amazing videos from around the world

Browse

Home 🎲 Random Video Trending Music Films

Categories

Gaming Sport News Tech

More

Entertainment Comedy Travel Sitemap

Powered by Dailymotion API · 2026 DailyTube