▶ DailyTube
Home 🎲 Random Trending Music Gaming

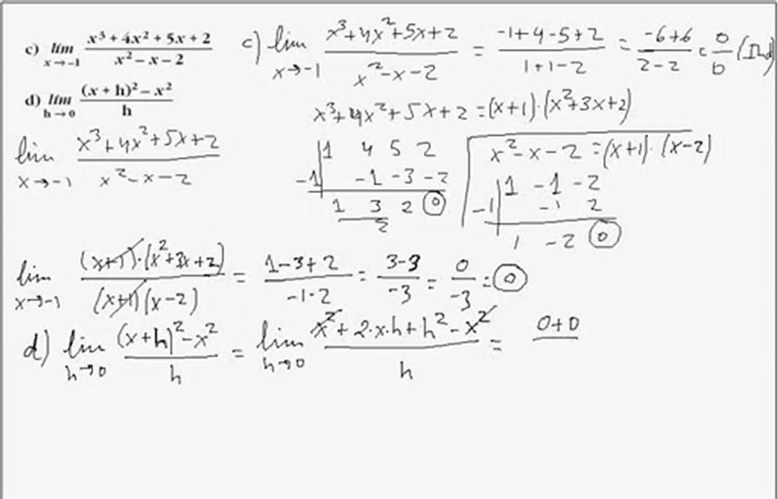
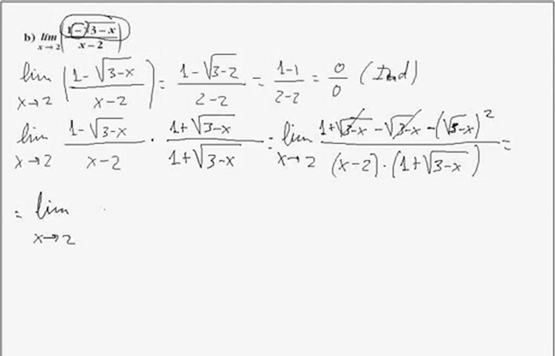
Límite por factorización Ejemplo 02

0 views · 6y ago 🎲 Random
walterortegaprofe
walterortegaprofe View Channel →

Si deseas que resuelva algún ejercicio en particular de cualquier área de matemáticas, no dudes en comentarlo o escribir al correo [email protected]<br />Formulario en: https://goo.gl/XvxDQp

Related Videos

Límite por factorización Ejemplo 03 2:41

Límite por factorización Ejemplo 03

walterortegaprofe 1 views

Límite por factorización Ejemplo 01 2:26

Límite por factorización Ejemplo 01

walterortegaprofe 4 views

LIMITE de una función usando factorización. LIMIT of a function using factorization. 1:57

LIMITE de una función usando factorización. LIMIT of a ...

DOMADOR DE NÚMEROS 2 views

8 Ejemplo Límites 0 sobre 0 3:44

8 Ejemplo Límites 0 sobre 0

Edgar José Salazar Palma 145 views

4 Ejemplo Límites 0 sobre 0 1:57

4 Ejemplo Límites 0 sobre 0

Edgar José Salazar Palma 183 views

Limites por lHopital Ejemplo 1 3:21

Limites por lHopital Ejemplo 1

walterortegaprofe 1 views

5 Ejemplo Límites 0 sobre 0 2:08

5 Ejemplo Límites 0 sobre 0

Edgar José Salazar Palma 329 views

11 Ejemplo Límites 0 sobre 0 4:28

11 Ejemplo Límites 0 sobre 0

Edgar José Salazar Palma 212 views

limites cero partido cero ejemplo 4 4:02

limites cero partido cero ejemplo 4

Institweet 42 views

limites cero partido cero ejemplo 3 5:02

limites cero partido cero ejemplo 3

Institweet 43 views

7 Ejemplo Límites 0 sobre 0 4:05

7 Ejemplo Límites 0 sobre 0

Edgar José Salazar Palma 166 views

Límites por aproximación Ejemplo 1 5:42

Límites por aproximación Ejemplo 1

walterortegaprofe 2 views

▶ DailyTube

Discover amazing videos from around the world

Browse

Home 🎲 Random Video Trending Music Films

Categories

Gaming Sport News Tech

More

Entertainment Comedy Travel Sitemap

Powered by Dailymotion API · 2026 DailyTube