▶ DailyTube
Home 🎲 Random Trending Music Gaming

Tatouage integral, http://www.lompre.com

2 views · 10y ago 🎲 Random
Graham Javon
Graham Javon View Channel →

Tatouage integral, http://www.lompre.com

Related Videos

Un tatouage intégral réalisé par le maître japonais Horiyoshi III 0:55

Un tatouage intégral réalisé par le maître japonais Hor...

Gentside 12 views

Tatouage intégral 0:45

Tatouage intégral

Buzz Moi Ça ! 40 views

Un tatouage intégral qui a demandé 180 heure de travail 0:45

Un tatouage intégral qui a demandé 180 heure de travail

PLANET VIDEOS 18 views

Tatouage intégral 0:45

Tatouage intégral

BuzzVid 21 views

écoutez le discours intégral de François Fillon :  https://www.youtube.com/watch?v=o9MZEgApeC4 2:08

écoutez le discours intégral de François Fillon : http...

Adc Lyon 26 views

Cursos de Matematicas para niños y cosas avanzadas Precalculo Calculo Diferencial Calculo Integral  http:/clasesdmatematicas.mex.tl 3:24

Cursos de Matematicas para niños y cosas avanzadas Prec...

Mario Rodríguez 542 views

Tatouages: phénomène de société, tatouages futiles, mais aussi tatouages très utiles ! 30:47

Tatouages: phénomène de société, tatouages futiles, mai...

Sud Radio 7 views

PANCITOS INTEGRALES "Pan integral casero, deliciosos panecillos integrales " 2:07

PANCITOS INTEGRALES "Pan integral casero, deliciosos pa...

Karsen Chet 18 views

Integral University LUCKNOW An A Historical Buildings। Integral university Lucknow campus exam time। AMU exam centre in integral university Lucknow । Aligarh Muslim university। 3:38

Integral University LUCKNOW An A Historical Buildings। ...

INFO TECH AND RESEARCH 7 views

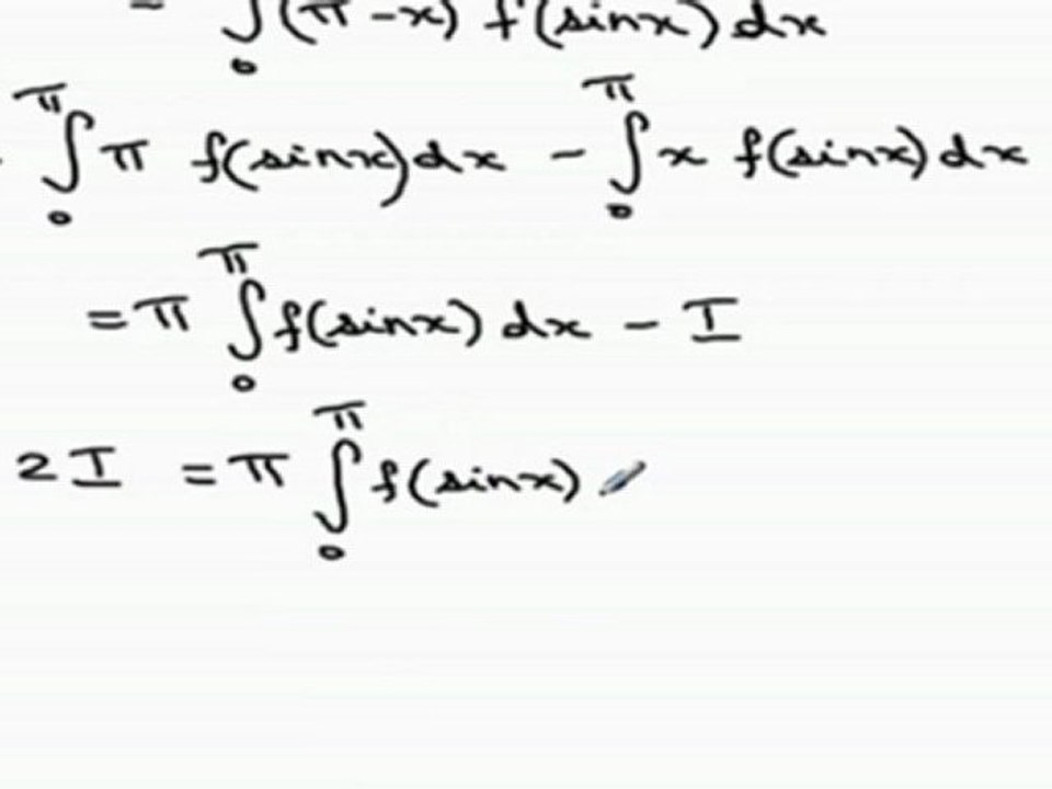
Definite Integrals - integral 0 to a (f(x)dx)=integral 0 to a(f(a-x)dx) 4:07

Definite Integrals - integral 0 to a (f(x)dx)=integral ...

Saameer Mody 17 views

Tatouage Femme - 15 Autocollants de tatouage 1:08

Tatouage Femme - 15 Autocollants de tatouage

Actubuzzy France 18 views

Tatouages et dé-tatouages dans Les Grosses Têtes 3:52

Tatouages et dé-tatouages dans Les Grosses Têtes

rtl.fr 19 views

▶ DailyTube

Discover amazing videos from around the world

Browse

Home 🎲 Random Video Trending Music Films

Categories

Gaming Sport News Tech

More

Entertainment Comedy Travel Sitemap

Powered by Dailymotion API · 2026 DailyTube