▶ DailyTube
Home 🎲 Random Trending Music Gaming

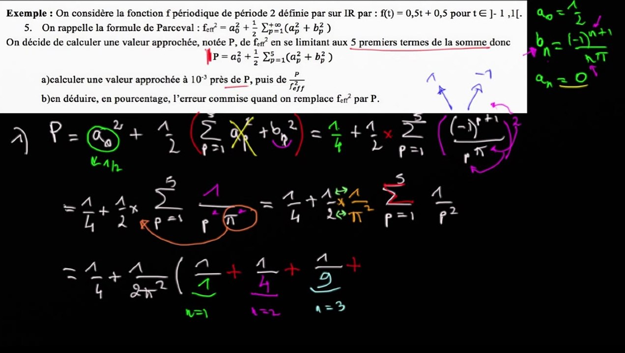
Exo de synthèse sur Parseval : 2/ Calcul de a0

3 views · 10y ago 🎲 Random
Mathenvideo
Mathenvideo View Channel →

Voici un exercice complet avec au final une utilisation de la formule de Parseval. <br /><br />Niveau : post-bac(bts, iut, licence, master..)<br /><br />Pour en savoir plus sur la formule de Parseval :<br />http://www.mathenvideo.fr/category/par-themes/fourier/la-formule-de-parceval/

Related Videos

Exo de synthèse sur Parseval : 4/ Calcul de f(eff)^2 : b)calcul de l intégrale 4:48

Exo de synthèse sur Parseval : 4/ Calcul de f(eff)^2 : ...

Mathenvideo 9 views

Exo de synthèse sur Parseval : 4/ Calcul de f(eff)^2 : a)Transformer de l intégrale 3:29

Exo de synthèse sur Parseval : 4/ Calcul de f(eff)^2 : ...

Mathenvideo 9 views

Exo de synthèse sur Parseval : 5/ a) Donner la valeur de P- (2) calcul 2:29

Exo de synthèse sur Parseval : 5/ a) Donner la valeur d...

Mathenvideo 7 views

Exo de synthèse sur Parseval : 3/ A. Déterminer la pulsation w 1:04

Exo de synthèse sur Parseval : 3/ A. Déterminer la puls...

Mathenvideo 4 views

Exo de synthèse sur Parseval : 3/ B.Calcul de b1 -(b)intégration par partie 2:39

Exo de synthèse sur Parseval : 3/ B.Calcul de b1 -(b)in...

Mathenvideo 11 views

Exo de synthèse sur Parseval : 3/ C.Calcul de an -(a) intégration par partie 4:18

Exo de synthèse sur Parseval : 3/ C.Calcul de an -(a) i...

Mathenvideo 2 views

Exo de synthèse sur Parseval : 5/ a) Donner la valeur de P- (1)transformation de l expression 4:59

Exo de synthèse sur Parseval : 5/ a) Donner la valeur d...

Mathenvideo 1 views

Exo de synthèse sur Parseval : 1/ Tracer la courbe de f 3:18

Exo de synthèse sur Parseval : 1/ Tracer la courbe de f

Mathenvideo 3 views

Exo de synthèse sur Parseval : 5/ a) Donner la valeur approchée de P f(eff)^2 0:53

Exo de synthèse sur Parseval : 5/ a) Donner la valeur a...

Mathenvideo 2 views

Exo de synthèse sur Parseval : 3/ B.Calcul de b1 -(d) vérification 1:03

Exo de synthèse sur Parseval : 3/ B.Calcul de b1 -(d) v...

Mathenvideo 1 views

Exo de synthèse sur Parseval : 3/ B.Calcul de b1 -(c)simplification 3:31

Exo de synthèse sur Parseval : 3/ B.Calcul de b1 -(c)si...

Mathenvideo 2 views

Exo de synthèse sur Parseval : 3/ B.Calcul de b1 -(a) trouver l expression de b1 2:51

Exo de synthèse sur Parseval : 3/ B.Calcul de b1 -(a) t...

Mathenvideo 4 views

▶ DailyTube

Discover amazing videos from around the world

Browse

Home 🎲 Random Video Trending Music Films

Categories

Gaming Sport News Tech

More

Entertainment Comedy Travel Sitemap

Powered by Dailymotion API · 2026 DailyTube