▶ DailyTube
Home 🎲 Random Trending Music Gaming

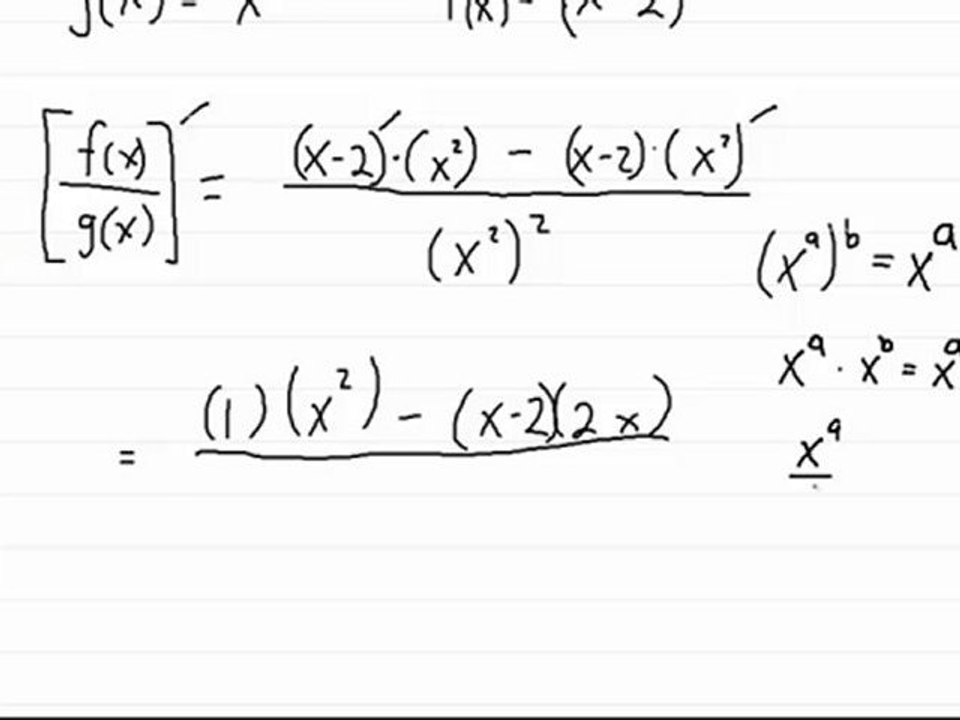
Calculus I - Derivatives - Quotient Rule - Example 2

13 views · 11y ago 🎲 Random
The Infinite Looper
The Infinite Looper View Channel →

Another example of using the quotient rule to find a derivative.

Related Videos

Calculus I - Derivatives - Quotient Rule - Example 3 5:49

Calculus I - Derivatives - Quotient Rule - Example 3

The Infinite Looper 9 views

Calculus I - Derivatives - Quotient Rule - Example 1 3:09

Calculus I - Derivatives - Quotient Rule - Example 1

The Infinite Looper 9 views

Calculus I - Derivatives - Quotient Rule - Proof 16:53

Calculus I - Derivatives - Quotient Rule - Proof

The Infinite Looper 4 views

Calculus I - Derivatives - Another Proof of the Quotient Rule 7:24

Calculus I - Derivatives - Another Proof of the Quotien...

The Infinite Looper 9 views

Calculus Derivatives Quotient Rule Introduction 6:13

Calculus Derivatives Quotient Rule Introduction

martin93003 1 views

Calculus I - Derivatives - Product Rule - Example 2 6:36

Calculus I - Derivatives - Product Rule - Example 2

The Infinite Looper 18 views

Calculus I - Derivatives - Power Rule (real exponents) - Example 3 2:46

Calculus I - Derivatives - Power Rule (real exponents) ...

The Infinite Looper 9 views

Calculus I - Derivatives - Power Rule (real exponents) - Example 2 4:38

Calculus I - Derivatives - Power Rule (real exponents) ...

The Infinite Looper 6 views

Calculus I - Derivatives - Product Rule - Example 3 - Three Factors 8:31

Calculus I - Derivatives - Product Rule - Example 3 - T...

The Infinite Looper 15 views

Calculus I - Derivatives - Product Rule - Example 1 2:54

Calculus I - Derivatives - Product Rule - Example 1

The Infinite Looper 3 views

Calculus I - Derivatives - Sum and Difference Rules - Example 2 4:53

Calculus I - Derivatives - Sum and Difference Rules - E...

The Infinite Looper 12 views

Calculus I - Derivatives - Power Rule (for all real exponents) - Proof and Example 1 4:36

Calculus I - Derivatives - Power Rule (for all real exp...

The Infinite Looper 11 views

▶ DailyTube

Discover amazing videos from around the world

Browse

Home 🎲 Random Video Trending Music Films

Categories

Gaming Sport News Tech

More

Entertainment Comedy Travel Sitemap

Powered by Dailymotion API · 2026 DailyTube