▶ DailyTube
Home 🎲 Random Trending Music Gaming

Lec13 - Higher Order Linear Differential Equations

10 views · 11y ago 🎲 Random
Waqas Ahmad
Waqas Ahmad View Channel →

Related Videos

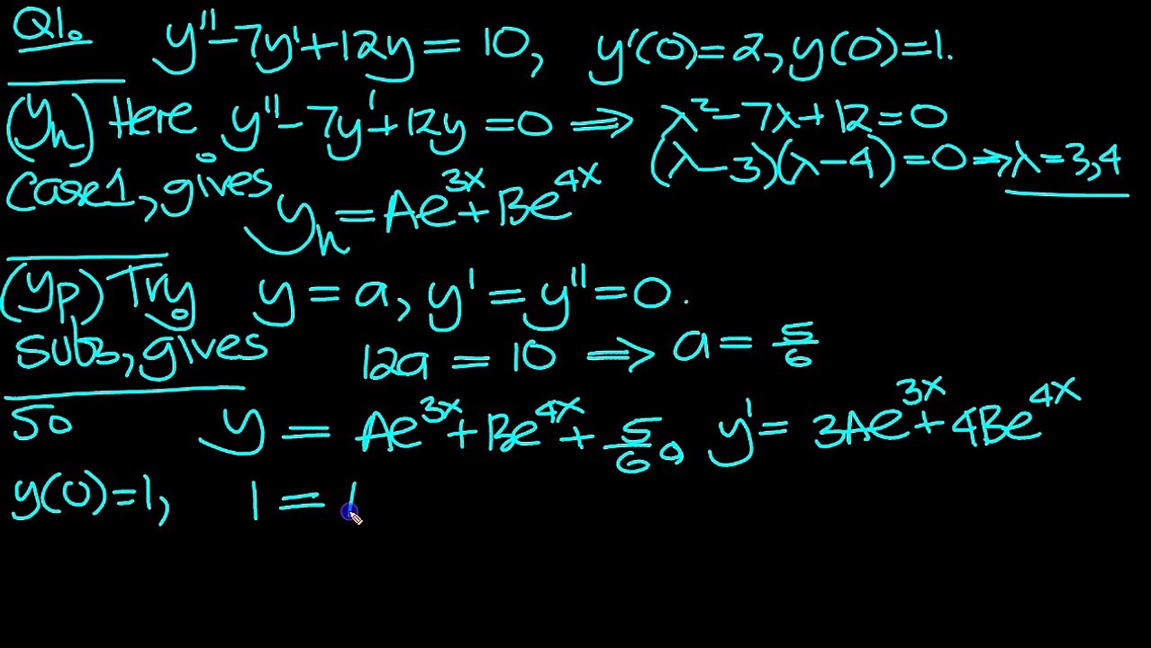
Second Order Non Homogeneous Linear Differential Equations with ics Q1 5:58

Second Order Non Homogeneous Linear Differential Equati...

Cain Lew 1 views

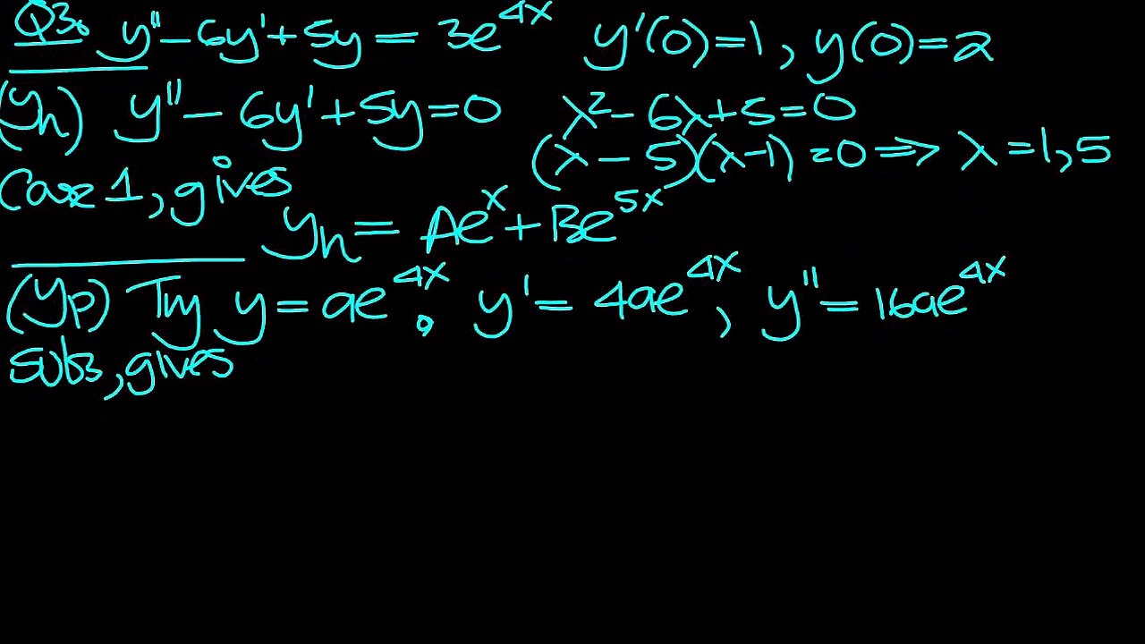
Second Order Non Homogeneous Linear Differential Equations with ics Q3 6:18

Second Order Non Homogeneous Linear Differential Equati...

Cain Lew 3 views

Linear Second Order Homogeneous Differential Equations - (two real equal roots) 9:09

Linear Second Order Homogeneous Differential Equations ...

Pierre Efren 2 views

Download Boundary Value Problems from Higher Order Differential Equations ebook {PDF} {EPUB} 0:39

Download Boundary Value Problems from Higher Order Diff...

Heather Parker 3 views

Lec14 - Solutions of Higher Order Linear Equations 55:55

Lec14 - Solutions of Higher Order Linear Equations

Waqas Ahmad 25 views

Differential equations - Order and Degree of the Differential Equations 5:28

Differential equations - Order and Degree of the Differ...

Saameer Mody 2 views

Differential equations - Methods of Solving First Order First Degree Differential Equations 3:58

Differential equations - Methods of Solving First Order...

Saameer Mody 6 views

Differential Equations - Linear differential equation 1:43

Differential Equations - Linear differential equation

Saameer Mody 1 views

Partial Differential Equations Lecture #15 Step to Solve Homogeneous Linear Differential Equation 16:53

Partial Differential Equations Lecture #15 Step to Solv...

Jksmart Lecture 127 views

Differential Equations - Conversion to standard form of linear differential equation 4:02

Differential Equations - Conversion to standard form of...

Saameer Mody 15 views

Differential equations - Linear Differentiation solved problem 6:22

Differential equations - Linear Differentiation solved ...

Saameer Mody 1 views

Lec36 - Systems of Linear Differential Equations (Continued) 56:26

Lec36 - Systems of Linear Differential Equations (Conti...

Waqas Ahmad 18 views

▶ DailyTube

Discover amazing videos from around the world

Browse

Home 🎲 Random Video Trending Music Films

Categories

Gaming Sport News Tech

More

Entertainment Comedy Travel Sitemap

Powered by Dailymotion API · 2026 DailyTube