▶ DailyTube
Home 🎲 Random Trending Music Gaming

Integrales XII - Sustitución o cambio de variable - Funciones trigonométricas

102 views · 12y ago 🎲 Random
Sabio Online
Sabio Online View Channel →

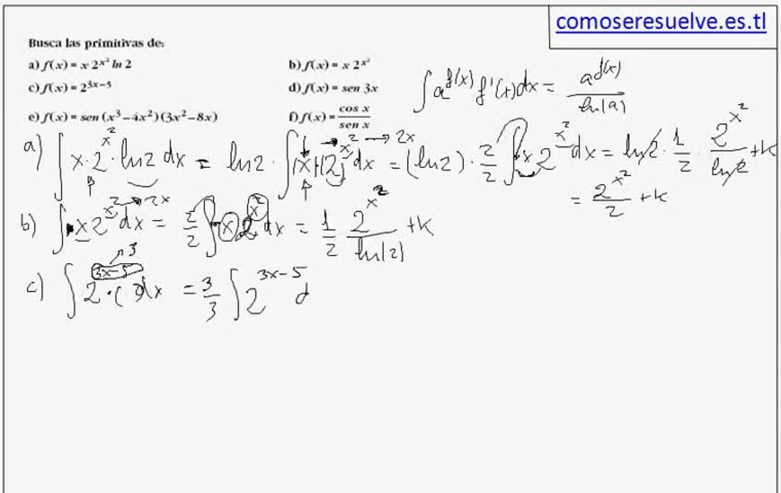
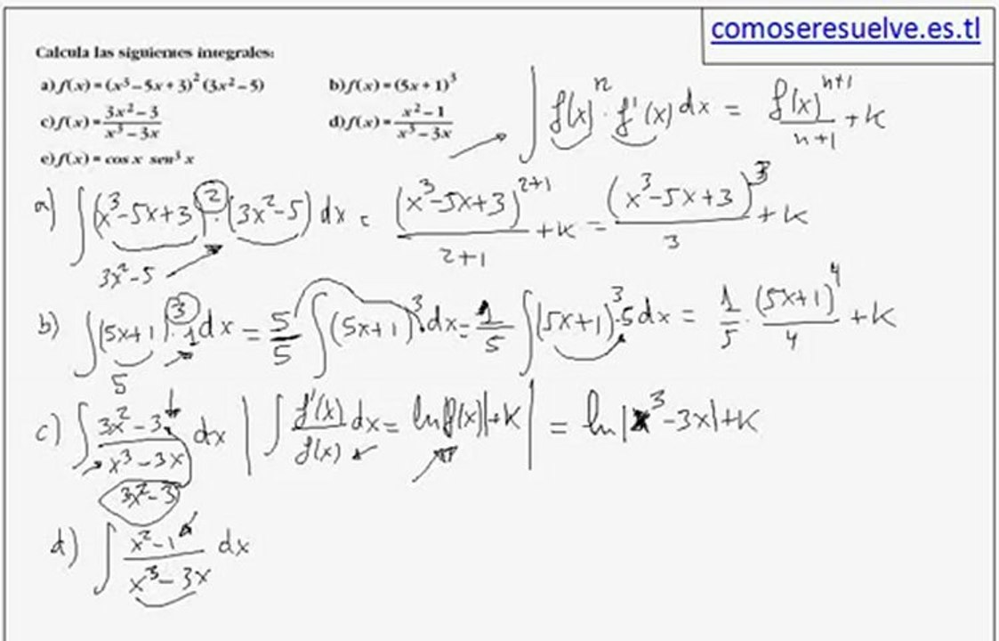
Duodécimo ejemplo sobre cómo calcular integrales. <br /> <br />Ver licencia en YouTube: http://youtu.be/YFRVffe5JiI

Related Videos

Integrales XIII -- Sustitución o cambio de variable -- Funciones trigonométricas 11:18

Integrales XIII -- Sustitución o cambio de variable -- ...

Sabio Online 1 views

Integrales XIV -- Sustitución o cambio de variable -- Funciones trigonométricas 8:44

Integrales XIV -- Sustitución o cambio de variable -- F...

Sabio Online 43 views

Integrales VI - Sustitución o cambio de variable 7:21

Integrales VI - Sustitución o cambio de variable

Sabio Online 1 views

Integrales VII - Sustitución o cambio de variable 4:13

Integrales VII - Sustitución o cambio de variable

Sabio Online 1 views

Cálculo Integral: Integrales de Algunas Funciones Trigonométricas - Sesión 3 1/3 14:09

Cálculo Integral: Integrales de Algunas Funciones Trigo...

Woodie Cayla 1 views

Integrales directas de potencias, exponenciales y trigonométricas 6:57

Integrales directas de potencias, exponenciales y trigo...

Institweet 3 views

Integrales directas de potencias y trigonométricas 6:46

Integrales directas de potencias y trigonométricas

Institweet 722 views

Integrales por sustitucion trigonometrica 7:59

Integrales por sustitucion trigonometrica

schmidt tarver Rusher 29 views

Integrales IV - Sustitución o cambio de variable 5:07

Integrales IV - Sustitución o cambio de variable

Sabio Online 1 views

Integrales II - Sustitución o cambio de variable 2:42

Integrales II - Sustitución o cambio de variable

Sabio Online 1 views

Integrales V - Sustitución o cambio de variable 6:39

Integrales V - Sustitución o cambio de variable

Sabio Online 1 views

Integrales III - Sustitución o cambio de variable 11:18

Integrales III - Sustitución o cambio de variable

Sabio Online 1 views

▶ DailyTube

Discover amazing videos from around the world

Browse

Home 🎲 Random Video Trending Music Films

Categories

Gaming Sport News Tech

More

Entertainment Comedy Travel Sitemap

Powered by Dailymotion API · 2026 DailyTube