▶ DailyTube
Home 🎲 Random Trending Music Gaming

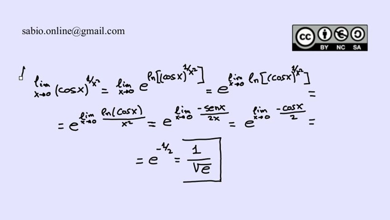
Cálculo de límites aplicando la regla de L'Hôpital VII

56 views · 12y ago 🎲 Random
Sabio Online
Sabio Online View Channel →

Séptimo ejemplo sobre cómo aplicar la regla de L'Hôpital para calcular límites. <br /> <br />Ver licencia en YouTube: http://youtu.be/aTw_r-Ec1Oc

Related Videos

Cálculo de límites aplicando la regla de L'Hôpital IV 2:05

Cálculo de límites aplicando la regla de L'Hôpital IV

Sabio Online 90 views

Cálculo de límites aplicando la regla de L'Hôpital V 1:32

Cálculo de límites aplicando la regla de L'Hôpital V

Sabio Online 50 views

Cálculo de límites aplicando la regla de L'Hôpital VI 5:47

Cálculo de límites aplicando la regla de L'Hôpital VI

Sabio Online 271 views

Cálculo de límites aplicando la regla de L'Hôpital VIII 4:00

Cálculo de límites aplicando la regla de L'Hôpital VIII

Sabio Online 70 views

Cálculo de límites aplicando la regla de L'Hôpital I 1:10

Cálculo de límites aplicando la regla de L'Hôpital I

Sabio Online 2 views

Cálculo de límites aplicando la regla de L'Hôpital II 2:11

Cálculo de límites aplicando la regla de L'Hôpital II

Sabio Online 81 views

Cálculo de límites aplicando la regla de L'Hôpital IX 8:55

Cálculo de límites aplicando la regla de L'Hôpital IX

Sabio Online 1 views

Cálculo de límites aplicando la regla de L'Hôpital III 4:32

Cálculo de límites aplicando la regla de L'Hôpital III

Sabio Online 84 views

Aplicando la definición de logaritmos 7:59

Aplicando la definición de logaritmos

hernan-quiroz 84 views

Ej1(Calculo mental del logaritmo) 0:42

Ej1(Calculo mental del logaritmo)

sergiobrizuela18 24 views

Ej2(Calculo mental del logaritmo) 0:49

Ej2(Calculo mental del logaritmo)

sergiobrizuela18 9 views

Cálculo de un logaritmo : paso a paso/Ejercicio 1 0:56

Cálculo de un logaritmo : paso a paso/Ejercicio 1

Matemáticas y Ciencias Digitales UNI 0 views

▶ DailyTube

Discover amazing videos from around the world

Browse

Home 🎲 Random Video Trending Music Films

Categories

Gaming Sport News Tech

More

Entertainment Comedy Travel Sitemap

Powered by Dailymotion API · 2026 DailyTube